This is an old revision of the document!
\begin{eqnarray*} \sum{(Y_i - \hat{Y_i})^2} & = & \sum{(Y_i - (a + bX_i))^2} \;\;\; \because \hat{Y_i} = a + bX_i \\ & = & \text{SSE or SS.residual} \;\;\; \text{(and this should be the least value.)} \end{eqnarray*}
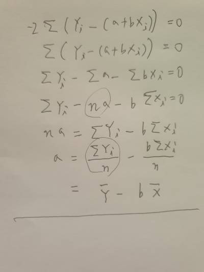
\begin{eqnarray*} \text{for a (constant)} \\ \\ \dfrac{\text{d}}{\text{dv}} \sum{(Y_i - (a + bX_i))^2} & = & \sum \dfrac{\text{d}}{\text{dv}} {(Y_i - (a + bX_i))^2} \\ & = & \sum{2 (Y_i - (a + bX_i))} * (-1) \;\;\;\; \\ & \because & \dfrac{\text{d}}{\text{dv for a}} (Y_i - (a+bX_i)) = -1 \\ & = & -2 \sum{(Y_i - (a + bX_i))} \\ \\ \text{in order to have the least value, the above should be zero} \\ \\ -2 \sum{(Y_i - (a + bX_i))} & = & 0 \\ \sum{(Y_i - (a + bX_i))} & = & 0 \\ \sum{Y_i} - \sum{a} - b \sum{X_i} & = & 0 \\ \sum{Y_i} - n*{a} - b \sum{X_i} & = & 0 \\ n*{a} & = & \sum{Y_i} - b \sum{X_i} \\ a & = & \dfrac{\sum{Y_i}}{n} - b \dfrac{\sum{X_i}}{n} \\ a & = & \overline{Y} - b \overline{X} \\ \end{eqnarray*}
\begin{eqnarray*} \text{for b, (coefficient)} \\ \\ \dfrac{\text{d}}{\text{dv}} \sum{(Y_i - (a + bX_i))^2} & = & \sum \dfrac{\text{d}}{\text{dv}} {(Y_i - (a + bX_i))^2} \\ & = & \sum{2 (Y_i - (a + bX_i))} * (-X_i) \;\;\;\; \\ & \because & \dfrac{\text{d}}{\text{dv for b}} (Y_i - (a+bX_i)) = -X_i \\ & = & -2 \sum{X_i (Y_i - (a + bX_i))} \\ \\ \text{in order to have the least value, the above should be zero} \\ \\ -2 \sum{X_i (Y_i - (a + bX_i))} & = & 0 \\ \sum{X_i (Y_i - (a + bX_i))} & = & 0 \\ \sum{X_i (Y_i - ((\overline{Y} - b \overline{X}) + bX_i))} & = & 0 \\ \sum{X_i ((Y_i - \overline{Y}) - b (X_i - \overline{X})) } & = & 0 \\ \sum{X_i (Y_i - \overline{Y})} - \sum{b X_i (X_i - \overline{X}) } & = & 0 \\ \sum{X_i (Y_i - \overline{Y})} & = & b \sum{X_i (X_i - \overline{X})} \\ b & = & \dfrac{\sum{X_i (Y_i - \overline{Y})}}{\sum{X_i (X_i - \overline{X})}} \\ b & = & \dfrac{\sum{(Y_i - \overline{Y})}}{\sum{(X_i - \overline{X})}} \\ b & = & \dfrac{ \sum{(Y_i - \overline{Y})(X_i - \overline{X})} } {\sum{(X_i - \overline{X})(X_i - \overline{X})}} \\ b & = & \dfrac{ \text{SP} } {\text{SS}_\text{x}} \\ \end{eqnarray*}



