Table of Contents
Internet History
1940s
1945
Vannevar Bush.
1945년 Vannevar Bush는1) As We May Think 글에서 Memex (Memory Extender)라는 가상의 기계를 소개하고, 이 기계를 이용하여 개인은 자신이 처리하는 정보를 캡처, 처리, 보관, 재사용하는데 이용하여 정보처리 능력을 향상시킬 수 있을 것이라고 묘사하였다.

Memex in As we may think
1960s
1960
J.C.R Licklider. MIT의 Licklider가 1962년 광범위하게 컴퓨터들이 연결되어 있는 세계를 Man-computer Symbiosis와 The Computer as a Communication Device (1968, Robert Taylor와 공저)를 통해 묘사 하였다. 기술적으로 구현된 것은 아니었으나 그가 구상한 세계는 오늘 날의 인터넷과 흡사한 것으로 알려진다. ARPA의 하부기관인 Information Processing Techniques Office (IPTO)의 디렉터로 재직하면서 오늘날 인터넷으로 완성된 ARPANET2)의 펀딩이 가능하도록 하였다. 참조:Man-Computer Symbiosis
1961
Leonard Kleinrock. MIT의 Klenrock은 오늘날의 인터넷 통신의 기초가 되는 packet switching에 관한 논문 3)을 처음으로 발표하였고, 이후 1964년에 같은 주제의 책4)을 저술하였다. (Packet switching 동영상 설명)
1962
Douglas Engelbart : NLS, Mouse .
Stanford Research Institute (SRI) 에서 미래 컴퓨팅에 대한 비전을 Augmenting human intellect: A conceptual framework에서 제시하고, 다음해에 리서치 랩을 개설하여 그룹웨어 시스템이라고 할 수 잇는 NLS (oNLines System)이라는 hypermedia를 발전시켰으며, Mouse를 처음으로 고안하여 사용하였다. 그의 이런 기술 구현과 아이디어는 너무도 혁신적이어서 1968년 San Francisco에서 열린 Fall Joint Computer 학회에서, 30 마일 떨어진 자신의 랩의 연구원들의 원격 비디오 상영을 이용한 멀티미디어 프레젠테이션에서 이 아이디어의 발전상황을 소개했을 때, 대부분의 사람들은 일종의 사기라고 생각했을 정도였다. Engelbart는 NLS 연구는 ARPA 펀드에 의한 것이었다.
- Engelbart introducing word processor concept:
- Demonstration 2/10 at SRI
- Demonstration 3/10 at SRI
- 6/10 at SRI
- Engelbart introducing link concept and mouse (control devices):
- We have point device called mouse . . . .
- Come in Menro Park. . . . Okay . . . .
1964
Paul Baran, packet switching
Baran 역시 독립적으로 packet switching에 관한 논문을 발표하엿다 5) 6). Baran은 Rand Corporation이라는 리서치 회사에서 연구원으로 재직하면서 On Distributed Communications Networks이라는 논문에 당시의 냉전 상황에서 미사일 콘트롤과 기밀문서 등이 분산되어 있으면 좋은 점 등을 지적하였는데 이것이 컴퓨터 망을 통한 컨트롤로 실현될 수 있다는 점이었다. 후에 ARPANET의 디렉터이던 Lawrence (Larry) Roberts는 그의 아이디어를 수용하여 ARPANET을 완성하였다.
1965
Robert Taylor
NASA에서 근무를 하던 로버트 테일러는 당시 아폴로 달 착륙 프로젝트 등과 같은 과학프로젝트를 지원하고 있었는데, 1962년 Licklider를 만나게 되면서, ARPA 프로젝트에 대해서 알게 된다. 또한 SRI의 Engelbart를 만나고, 그의 computer-display technology에 대한 펀드를 지원하게 된다. 이후 1965년 테일러는 공식적으로 NASA에서 ARPA로 옮겼으며, 이듬해에 IPTO의 디렉터가 된다. 이 과정에서 그는 Lawrence G. Roberts를 알게 되고 그를 고용하고자 한다.
Lawrence G. Roberts
TX-2 to SDCQ-32 Connection Experiment: Roberts는 MIT의 Lincoln Lab에서 Thomas Marill과 공동으로 TX-2 컴퓨터(MIT, MA)와 System Development Corporation사의 SDCQ-32 (Santa Monica, CA) 컴퓨터를 연결하는 실험을 하였다. Circuit switch 기술을 사용하는 전화선을 사용하였기 때문에 실험이 불안정하였으나, 컴퓨터 네트워킹과 관련하여서는 성공적인 실험으로 알려졌다. 이후, 이 기술에 대한 소식을 들은 ARPA의 디렉터, Robert Taylor는 Larry Roberts가 ARPA에 와서 연구를 해야 한다고 설득하였다.
Taylor didn’t know Roberts very well. No one, it seemed, knew Roberts very well. He
was as reserved in his manner as Taylor was open in his. The people with whom Roberts
worked most closely knew almost nothing about his personal life. What was known about
him was that in addition to computing and telecommunications expertise, he had a knack
for management. Roberts’s style was simple, direct, unambiguous, and terribly effective.
Roberts had a reputation for being something of a genius. At twenty-eight, he had done
more in the field of computing than many scientists were to achieve in a lifetime.
1966
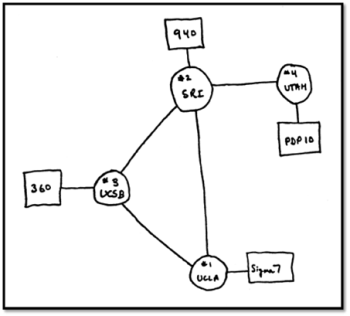
Lawrence G. Roberts, Interface Message Processors (IMP)
MIT의 Linclon에서 ARPA로 가면서 Roberts는 “Towards a Cooperative Network of Time-Shared Computers”을 발표하였으며, 이것이 처음의 APARNET 플랜이 되었다 7). 이를 위해서 Robert는 Interface Message Processors (IMPS)라는 컴퓨터를 생각하였고, 이 컴퓨터가 LCLA, SRI, University of Utah, 그리고 UC Santa Barbara에 위치해야 한다고 생각하였다. 후에 IMP는 Bold Beranek and Newman (BBN)이라는 회사가 조립하기로 낙찰되었다.
1968
준비. 
Roberts의 계획안이 채택되었다. UCLA가 Network Measurement Center로 지정되었다.
BBN, Bolt, Beranek and Newman사가 packet switch 기술 장착사로 지정되었다 (Interface Message Processors (IMPS)).
1969
Genesis .
BBN이 UCLA, SRI, UCSB, 그리고 University of Utah에 IMPS를 설치하여 4개의 노드로 ARPANET 시작 된다. AT&T 사가 50kbps 전화선 제공하였고, 로그인을 하는 시도로 최초의 packets이 UCLA의 Charley Kline에 의해서 SRI로 보내진다. L, O, 다음의 G 를 타이핑하는 순간에 시스템이 다운된다 (10/09,1969).
1970s
1971

Email, an new and the old technology.
BBN사의 Ray Tomlinson이 email 프로그램을 만들어 사용하기 시작하고 다음 해에 이를 ARPANET에 적용하게 된다. 72년 이를 수정하여 @ (at이라고 읽는다) 사인을 인터넷 이메일 주소의 일부로 사용하도록 한다.

Gutenberg Project.
또한 Gutenberg project가 Michael Hart에 의해서 시작된다. 이 프로젝트는 책을 포함한 모든 종류의 copyright가 없는 작품을 전자문서 형식으로 사람들이 사용할 수 있도록 하는 것이었다. 제일 처음 완성된 문서는 미국의 독립선언서라고 한다.
1972
최초의 채팅.
최초의 컴퓨터 대 컴퓨터 채팅이 UCLA에서 실현된다. 이후 International Conference on Computer Communications (ICCC) 학회에서 이것이 BBN의 정신과 의사와 Stanford 대의 정신병자인 PARRY가 상담하는 형식으로 재현된다.
1973
해외연결.
ARPANET이 Norway의 NORSAR를 경유하여 University College of London (England)에 연결되므로써, ARPANET이 최초로 해외에 연결된다.
Ethernet card.
Harvard 대의 Bob Metcalfe가 Ethernet 카드에 대한 논문을 발표한다. Xerox PARC의 Alto 컴퓨터에 이 기술이 테스트되어 Alto Aloha System 으로 불리게 된다.
1974
TCP.
Vint Cerf와 Bob Kahn은 UCLA에서 A Protocol for Packet Network Intercommunication (PDF) 논문을 발표하여 transmission-control protocol (TCP)의 개념을 소개한다. 당시 BBN에 의해서 배달된 IMPS를 관리 감독하던 그는 packets을 전송하여도 처리하는 방식이 각 host 컴퓨터마다 달라서 연결은 가능하되 커뮤니케이션은 할 수 없는 상태가 될 수 있다는 문제점에서 공통적인 packet 처리 기술의 기반으로 TCP를 제안하고, 이를 gateway 컴퓨터가 송수신하는 것으로 ARAPNET의 통합적인 연결을 제안한다. 후에 이 기술은 TCP와 Internet Protocal (IP) 파트로 재조정된다 (TCP/IP).
how tcp works
1975
mailing list.
Steve Walker가 최초의 mailing list인 Message Services Group (MsgGroup)이 시작된다 8). 이 기술은 후에 ARPANET Mailing Lists 와 Usenet Newsgroups 기술 발전에 영향을 미친다 Txt File.
1978
TCP/IP.
Vint Cerf와 Bob Kahn의 초기 아이디어였던 Transmission Control Protocal (TCP)가 TCP와 Internet Protocal (IP) 로 쪼개진다.
1979
Usenet.
Tom Truscott, Jimm Ellis, Steve Bellovin에 의해서 UUCP를 사용한 USENET이 Duke 대학과 University of North Carolina 간에 사용되기 시작한다. 초기의 모든 newsgroup는 net.* 의 구조에 포함되었다.
Usenet에 관하여
Zen and the Art of the Internet
MUD.
Richard Bartle과 Roy Trubshaw가 University of Esses에서 최초의 MUD 프로그램인 MUD1 개발
1980s
1982
ARPA의 TPC/IP 채택: The true Internet 시작.
DCA와 ARPA가 ARPANET에 TCP와 IP를 사용하는 것을 결정하여 컴퓨터 네트워크들의 네트워크라고 알려진 Internet이 시작된다.
e-moticon
: - ) 와 : - ( 사인이 Carnegie Mellon University에서 사용되기 시작
1983
한국 참가
한국과 Stuttgart가 ARPANET에 연결된다.
APARNET 분리.
ARPANET이 ARPANET과 MILNET으로 나뉘어 진다. 1982년도에 만들어진 MILNET은 Defense Data Network에 귀속되게 되고, 이로써 총 113 nodes 중 68 nodes가 ARPANET을 떠나게 된다.
Name server.
Name server가 University of Wisconsin에서 개발된다. 이로써 컴퓨터들은 접속하고자 하는 컴퓨터들의 주소를 정확히 알고 있지 않아도 되도록 된다.
1984
Domain Name System (DNS) .
Domain Name System (DNS)이 소개되어 널리 퍼지기 시작된다.
1000 back-bone host .
연결된 호스트들이 1000 을 넘게됨
Usenet employs moderating .
USENET의 newsgroup에 moderating 이 사용되기 시작된다 (mod.*)
1985
DNS의 가동과 symbolics.com
University of South Carolina의 Information Sciences Institute (ISI)가 DNS root server를 관리하게 된다.
DNS에 의해서 symbolics.com 이름이 3월 15일 부여된다 (03/15) 다른 컴퓨터들도 DNS 이름을 갖기 시작한다: cmu.edu, purdue.edu, rice.edu, berkeley.edu, ucla.edu, rutgers.edu, bbn.com (24 Apr); mit.edu (23 May); think.com (24 may); css.gov (June); mitre.org, .uk (July)
1986
NSFNET 시작
National Science Foundation (NSF)의 NSFNET가 완성된다. 이로써 다섯개의 학교가 컴퓨팅 센터로 지정된다 (JVNC@Princeton, PSC@Pittsburgh, SDSC@UCSD, NCSA@UIUC, Theory Center@Cornell). 학술진흥재단과 같은 성격의 NSF가 완성한 NSFNET는 수 많은 nodes를 끌어들이게 된다.
1988
Worm Virus
Internet worm virus가 창궐하여 6000-60000 여대의 host가 피해를 본다 9).
IRC, Internet Relay Chatting
Jarkko Oikarinet이 IRC (Internet Relay Chat) 프로그램을 개발한다.
1989
100,000 host
호스트, 100,000 초과
1990s
1990
Internet Service Provider (ISP)
The World라는 회사가 최초로 상업적인 Internet Service Provider (ISP)로 나서게 된다.
1991
Gopher, !WorldWideWeb, PGP
Lindner와 !McCahill에 의해서 Gopher가 개발된다 (University Minnesota).
see https://web.cortland.edu/flteach/methods/obj1/gopher.html
see also https://thenewstack.io/gopher-ruled-internet/
and https://mncomputinghistory.com/gopher-protocol/

WorldWideWeb
Tim Berners-Lee가 WorldWideWeb을 발표한다. Oxford University 물리학과를 졸업한 후에 일하던 직장이 사정이 어렵게 되자, CERN 에서 part-time으로 일을 하게 되는데, 이 때, ENQUIRE를 개발한다. 이는 훗날 WorldWideWeb이라는 프로그램 개발의 기초가 된다. 그는 1991년 8월 6일 alt.hypertext 뉴스그룹 (Usenet)에 이 월드와이드웹에 대한 기술을 발표하게 되는데, 이 날짜가 월드와이드웹의 시작일로 알려지게 된다 10)).
Viola.
UC Berkely 대의 Pei-Yuan Wei 학생이 Viola 개발, 다음 해에 졸업 후에 WWWViola로 가다듬어 발전 시킨다 (현재는 https://www.viola.org/ 참조). Viola는 X-windows (Unix)에서 돌아가는 browser로서 현재의 CSS stylesheet의 개념, 도큐멘트의 insertion 등등 오늘 날에 광범위하게 사용되는 테크놀로지가 포함될 정도로 시대를 앞서는 것이었다. 이런 기술에도 불구하고, WWWViola는 X-windows (Unix flavor)에서만 돌아가는 브라우저였기에, 후에 Mosaic이 브라우저의 대중화를 이루어냈다고 평가된다.
Pretty Good Privacy (PGP)
Philip Zimmermann이 Pretty Good Privacy (PGP)을 개발한다 11). 당시의 미국은 암호학 프로그램은 무기로 취급이 되었던터라, 그는 이 프로그램을 시작으로 미 관세국으로부터 “무기수출에 대한 위반”의 조사를 3년간 받지만 혐의 없음으로 기소되지는 않는다.
US High Performance Computing Act
US High Performance Computing Act (Gore 1) 가 Gore에 의해서 사인되고 NREN (National Research and Education Network) 가 만들어진다.
참조: Berners-Lee 가 newsgroup, alt.hypertext에 남긴 내용
In article <6...@cernvax.cern.ch> I promised to post a short summary of the
WorldWideWeb project. Mail me with any queries.
WorldWideWeb - Executive Summary
The WWW project merges the techniques of information retrieval and hypertext to
make an easy but powerful global information system.
The project started with the philosophy that much academic information should
be freely available to anyone. It aims to allow information sharing within
internationally dispersed teams, and the dissemination of information by
support groups.
Reader view
The WWW world consists of documents, and links. Indexes are special documents
which, rather than being read, may be searched. The result of such a search is
another ("virtual") document containing links to the documents found. A simple
protocol ("HTTP") is used to allow a browser program to request a keyword
search by a remote information server.
The web contains documents in many formats. Those documents which are
hypertext, (real or virtual) contain links to other documents, or places
within documents. All documents, whether real, virtual or indexes, look similar
to the reader and are contained within the same addressing scheme.
To follow a link, a reader clicks with a mouse (or types in a number if he or
she has no mouse). To search and index, a reader gives keywords (or other
search criteria). These are the only operations necessary to access the entire
world of data.
Information provider view
The WWW browsers can access many existing data systems via existing protocols
(FTP, NNTP) or via HTTP and a gateway. In this way, the critical mass of data
is quickly exceeded, and the increasing use of the system by readers and
information suppliers encourage each other.
Making a web is as simple as writing a few SGML files which point to your
existing data. Making it public involves running the FTP or HTTP daemon, and
making at least one link into your web from another. In fact, any file
available by anonymous FTP can be immediately linked into a web. The very small
start-up effort is designed to allow small contributions. At the other end of
the scale, large information providers may provide an HTTP server with full
text or keyword indexing.
The WWW model gets over the frustrating incompatibilities of data format
between suppliers and reader by allowing negotiation of format between a smart
browser and a smart server. This should provide a basis for extension into
multimedia, and allow those who share application standards to make full use of
them across the web.
This summary does not describe the many exciting possibilities opened up by the
WWW project, such as efficient document caching. the reduction of redundant
out-of-date copies, and the use of knowledge daemons. There is more
information in the online project documentation, including some background on
hypertext and many technical notes.
Try it
A prototype (very alpha test) simple line mode browser is currently available
in source form from node info.cern.ch [currently 128.141.201.74] as
/pub/WWW/WWWLineMode_0.9.tar.Z.
Also available is a hypertext editor for the NeXT using the NeXTStep graphical
user interface, and a skeleton server daemon.
Documentation is readable using www (Plain text of the instalation instructions
is included in the tar file!). Document
http://info.cern.ch/hypertext/WWW/TheProject.html
is as good a place to start as any. Note these coordinates may change with
later releases.
_________________________________________________________________
Tim Berners-Lee Tel: +41(22)767 3755
WorldWideWeb project Fax: +41(22)767 7155
C.E.R.N. email: t...@cernvax.cern.ch
1211 Geneva 23
Switzerland
1992
MBORNE
audio multicast와 video multicast를 위한 MBONE 이 만들어진다.
Host, 1,000,000
호스트, 1,000,000 초과
Veronica, search for gopher
University of Nevada에서 gopher 서치 툴인 Veronica가 개발된다.
The term, Surf the Net
surfing the Internet이라는 용어가 Jean Armour Polly에 의해서 사용되어 널리 퍼지기 시작한다.
Message from discussion Possibly nefarious users View parsed - Show only message text Path: gmdzi!unido!mcsun!uunet!lll-winken!iggy.GW.Vitalink.COM!widener!brendan From: bren...@cs.widener.edu (Brendan Kehoe) Newsgroups: comp.admin.policy Subject: Possibly nefarious users Message-ID : <2D.-_.N@cs.widener.edu> Date: 6 Jun 91 14:57:57 GMT Organization: Widener CS Dept Lines: 15 Here's a question: how do other people deal with users that they *think* are doing no-nos around the net, One of our users had the habit of occasionally going**net-surfing** and doing the hit-and-run type of attempts (trying 'guest' usually), but I didn't have any real proof--only through other people. (He tended to come on about 2 hours before I'd get up to go to work.) After a lil chat with him, he calmed down. (He's since dropped out. <cough>) What do other places do, Brendan -- Brendan Kehoe - Widener Sun Network Manager - bren...@cs.widener.edu Widener University in Chester, PA A Bloody Sun-Dec War Zone Vanilla Ice == Richard VanWinkle .. hehe .. hohoho .. Hahahahahahahaha.
Zen and the Art of the Internet, Kehoe
Brendan Kehoe가 인터넷이란 무엇인가에 대한 설명서인 Zen and the Art of the Internet 문서를 제작, 배포한다.
Usenet hierarchy structure was settled
Usenet의 hierarchy 특성
1993

Marc Andreensen, Mosaic; !InterNIC
Marc Andreensen 웹 브라우저 Mosaic 개발 후 NCSA에서 배포. 다른 브라우저와 달리 폭발적인 인기를 끌기 시작한다 12).
InterNic
NSF에 의해서 보다 체계적이고 정확한 인터넷 서비스를 위해서 InterNic이 만들어진다.
- directory and database server : AT&T 가 관장
- registration services : Network Solution 이 관장
- Information services : General Atomics/CERFnet 이 관장
Internet radio
Internet talk radio가 등장한다.
Commercialization
이 무렵부터 상업적인 회사들이 인터넷에 관심을 갖기 시작한다.
1994
World Wide Web Consortium
Tim Berners-Lee 의 directorship 아래 W3C 기구가 만들어져서, html 문서 공유의 specification 등이 자발적으로 통일화된다.
Shopping mall
쇼핑몰이 등장한다.
Spam, Spam
Arizona 법률회사인 Canter , Siegel사가 인터넷을 통해서 green card (영주권을 따기위한 취업허가서) 서비스를 해준다는 spam이 광범위하게 퍼지게 된다13).


WWW service catches up with other technologies
인터넷 서비스 사용량: ftp > WWW > telnet 이었으나 WWW > ftp 를 압도하기 시작
Streaming, !RealAudio
RealAudio 오디오를 streaming하는 기술을 이용하여 인터넷을 통해서 오디오를 사용함
JAVA
Sun JAVA 개발 시작
Netscape
Netscape 주식회사로 등장
1996
정치적 사용
Malaysia 수상인 Mahathir Mohamad와 PLO 수장인 Yasser Arafat, 그리고 Philipine 대통령인 Fidel Ramos가 인터넷에서 만나 채팅을 한다.
Domain name competition
Domain 이름인 tv.com이 CNET사에게 $15000 판매된다.


Internet Explorer
Microsoft사가 Spyglass Mosaic와 계약하여, Internet Explore 소개시작 (version 6 까지). 이로써, IE와 Netscape 간의 전쟁이 시작되고, 이는 이전의 소프트웨어 개발과는 전혀 다른 종류의 것이었다.
Internet telephone
“Internet 전화”의 기술이 가능하다는 것을 알게 된 telecommunication 회사들이 US 의회에 이 기술을 법적으로 막아 줄 것을 요구한다.
세계적인 추세14)
중국: ISP와 사용자는 경찰에 우선 등록해야 했음
독일: !CompuServe라는 미국회사의 망을 통해서 들어오는 newsgroups 중 일부를 차단
사우디아라비아: 대학과 병원만 Internet사용 가능
뉴질랜드: 컴퓨터 디스크를 책으로 분류하여 검열 가능토록 함
1997
Mosaic 죽음, ARIN 등장
Mosaic 개발중단
Network Solutions (internic.net)의 Domain name 독점 관리에 대응하여 American Registry for Internet Numbers (ARIN)이 만들어 진다.
1998
Domain Name
도메인 이름이 본격적으로 상품화: business.com = US $150,000 →
후에 이 도메인은 결국 $345 million 의 거래기록을 갖게 된다.
그러나, 현재에는, business.com
–
sale record for domain names . . . . The highest recorded sale for a domain name is Cars.com for \$872 million. Other record-breaking sales include Business.com (\$345 million), Voice.com (\$30 million), and VacationRentals.com (\$35 million). Many sales, especially top-tier ones, are not always public, but a review of disclosed sales provides insight into the value of premium domain names.
2000s
2000-3
Worm virus
Massive Denial Service 공격으로 Apach, Western Union, Microsoft 등이 무너짐
Blog
Blog가 대중화되기 시작함
DDos attacks
미국: DDoS (Distributed Denial of Service) 공격으로 13 개의 DNS 서버가 다운 (다 무너지고 다섯개 남음)
Verisign사가 DNS root 서버를 분산
DDos attacks in Korea
한국의 인터넷 대란: 서울의 모든 DNS 서버가 다운 15).
2005
Android
Google purchases Android, Inc.
2007
Open Handset Alliance
삼십 사개의 회사가 Open Handset Alliance 조직을 만들어 참여함. 모바일 혁명을 주도하고, 충족하고, 비싸지 않으면서, 다른 기술에 앞서가는 모바일 경험을 제공하기 위해서 Alliance가 조직되었고, 프로젝트 이름이 안드로이드였음 – 리눅스 시스템 커널에 기반을 둔 개방적이고 무료인 운영체제 개발.
2008
HTC Android
HTC사가 대중에게 안드로이드폰 처음 소개
2011년 스마트폰의 반이 안드로이드라고 함
Links
인터넷의 시작에 대한 정보로 가장 추천하는 문서는 Netizens: An Anthology이다 16).





